【HUBET】 Nền Tảng Cá Cược World Cup 2026 Chính Thức

Nền Tảng Cá Cược World Cup 2026 Chính Thức

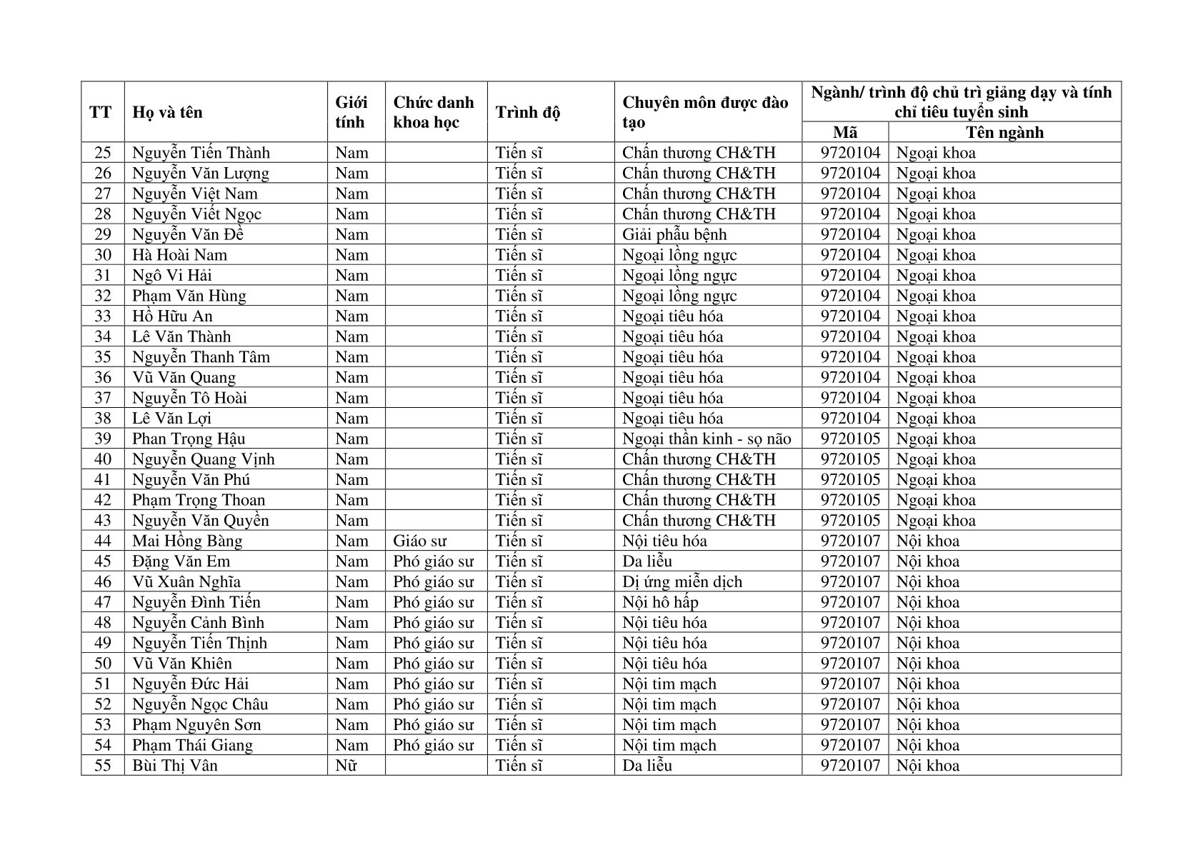
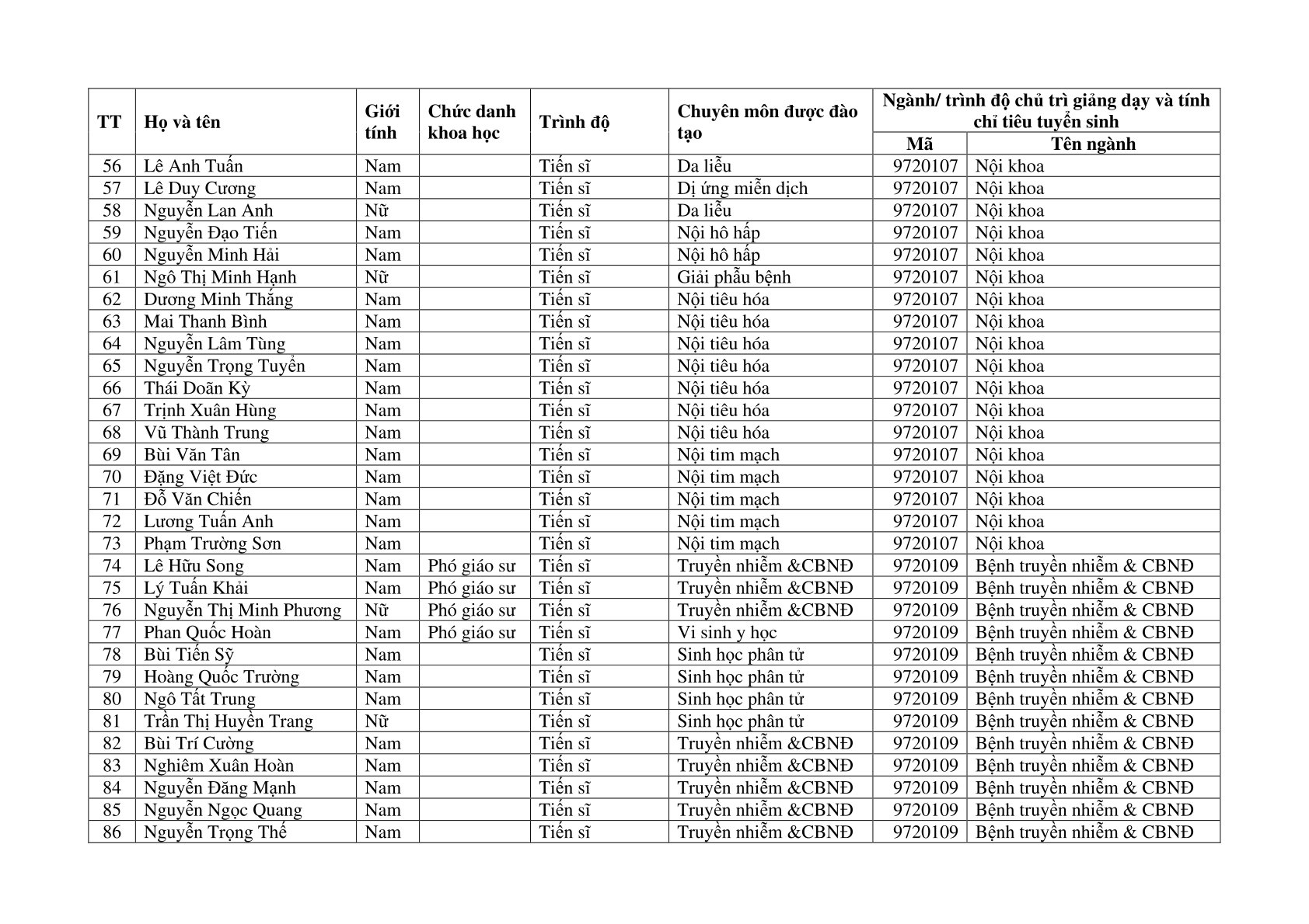
Danh sách giảng viên cơ hữu của Viện Nghiên cứu khoa học Y Dược lâm sàng 108 - Tính đến ngày 21/6/2022

  04:09 PM 21/06/2022

Xem toàn danh sách: Tại đây 

 

 

 

 

 

 

Xem toàn danh sách: Tại đây

Chia sẻ